KOMATH
Advanced Geometric Problem & Solution (Twice a week update) Now 4800 problems posted.
HOME
PROBLEM
TRIANGLE
EQUILATERAL
AREA
ANGLE
BISECTOR
COLLINEARITY
CONCURRENCY
CENTER
CONSTRUCTION
CIRCLE
DISTANCE
LOCUS
MEDIANS
PERIMETER
PERPENDICULAR
SIMILAR
OTHERS
ISOSCELES
AREA
ANGLE
BISECTOR
COLLINEARITY
CONCURRENCY
CENTER
CONSTRUCTION
CIRCLE
DISTANCE
LOCUS
MEDIANS
PERIMETER
PERPENDICULAR
SIMILAR
OTHERS
RIGHT
AREA
ANGLE
BISECTOR
COLLINEARITY
CONCURRENCY
CENTER
CONSTRUCTION
CIRCLE
DISTANCE
LOCUS
MEDIANS
PERIMETER
PERPENDICULAR
SIMILAR
OTHERS
GENERAL
AREA
ANGLE
BISECTOR
COLLINEARITY
CONCURRENCY
CENTER
CONSTRUCTION
CIRCLE
DISTANCE
LOCUS
MEDIANS
PERIMETER
PERPENDICULAR
SIMILAR
OTHERS
QUADRILATERALS
GENERAL
AREA
ANGLE
BISECTOR
CIRCLE
CYCLIC
COLLINEARITY
CONCURRENCY
CONSTRUCTION
DISTANCE
LOCUS
SIMILAR
OTHERS
PARALLELOGRAM
AREA
ANGLE
BISECTOR
CIRCLE
CYCLIC
COLLINEARITY
CONCURRENCY
CONSTRUCTION
DISTANCE
LOCUS
SIMILAR
OTHERS
RECTANGLE
AREA
ANGLE
BISECTOR
CIRCLE
CYCLIC
COLLINEARITY
CONCURRENCY
CONSTRUCTION
DISTANCE
LOCUS
SIMILAR
OTHERS
SQUARE
AREA
ANGLE
BISECTOR
CIRCLE
CYCLIC
COLLINEARITY
CONCURRENCY
CONSTRUCTION
DISTANCE
LOCUS
SIMILAR
OTHERS
TRAPEZOID
AREA
ANGLE
BISECTOR
CIRCLE
CYCLIC
COLLINEARITY
CONCURRENCY
CONSTRUCTION
DISTANCE
LOCUS
SIMILAR
OTHERS
CIRCLES
AREA
BISECTOR
CHORD
CYCLIC
COLLINEARITY
CONCURRENCY
CONSTRUCTION
INVERSION
LOCUS
TANGENT
OTHERS
POLYGON
HEXAGON
ANGLE
AREA
CONSTURCTION
CIRCLE
DISTANCE
PERIMETER
VECTOR
OTHERS
PENTAGON
ANGLE
AREA
CONSTURCTION
CIRCLE
DISTANCE
PERIMETER
VECTOR
OTHERS
OTHERS
ANGLE
AREA
CONSTURCTION
CIRCLE
DISTANCE
PERIMETER
VECTOR
OTHERS
SOLID
BOX
AREA
VOLUME
OTHERS
LOCUS
DISTANCE
TETRAHEDRON
AREA
VOLUME
OTHERS
LOCUS
DISTANCE
GENERAL
AREA
VOLUME
OTHERS
LOCUS
DISTANCE
CONSTRUCTIONS
CIRCLE
BISECT
PARALLEL
PERPENDICULAR
OTHERS
LINE
BISECT
PARALLEL
PERPENDICULAR
OTHERS
QUADRILATERAL
BISECT
PARALLEL
PERPENDICULAR
OTHERS
TRIANGLE
BISECT
PARALLEL
PERPENDICULAR
OTHERS
OTHERS
BISECT
PARALLEL
PERPENDICULAR
OTHERS
TRIGONOMETRY
CIRCLE
EVALUATION
INEQUALITY
RELATION
OTHERS
QUADRILATERAL
EVALUATION
INEQUALITY
RELATION
OTHERS
TRIANGLE
EVALUATION
INEQUALITY
RELATION
OTHERS
GENERAL
EVALUATION
INEQUALITY
RELATION
OTHERS
SOLUTION
SOURCE
LINK
COPYRIGHT
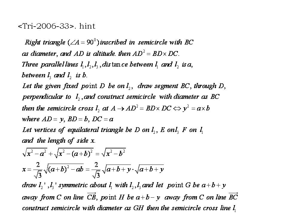
Tri-2006-33,hint
.
No comments:
Post a Comment
Newer Post
Older Post
Home
Subscribe to:
Post Comments (Atom)
No comments:
Post a Comment